【ベストコレクション】 t[O y«Î 208734-Toy industry
Sistema de Recepción de Estados Financieros N° Envío Contabilidad General de la Nación Sr(a) RODRIGO MAXIMILIANO SOLAR CORONEL La Contraloría General de la República certifica que ha recibido los archivosS } o o y y y y y y y y y y y y y y y y y y ~ î ò î ñ õ ñ r î ï ó î W t Ç o o í ó ñ u o W l Ç µ Á X µP o L a T L a R G Î Y Î M 51 likes 1 talking about this Clothing (Brand) Sections of this page Accessibility Help
3 94 Inches Black Super Leather Toy Used For Role Playing ṏ Pen M ṏ ṻth B ḁ Ll G ḁ G Gift Ha R N Eṥṥ Bli Nfṏld Wṏ Men M En A ḋ U ḷtṥ Sili Cṏne Br E ḁ Thḁble R I N G Small B U T T Kitchen Table Linens Home Readindia In
Toy industry
Toy industry-Z o v Z v o v > v P í ô U ì î ô í ô U ð ñ õ ð ï í î X ð 9 W } ( } v o U ^ v ( U v d Z v o ^ À õ í U ì ò ï õ ò U ô õ ô ñ U ô ï ñ ò X ð 9{ ^ l Æ o D' ì õ ò ì ' o o D' ì õ ò ì rd ' o o Á Z µ P ^ v ò í î D l s } v y ò í ï î ì ì í r î ì ì ð U & u ð í Á > P Z U ^ U d } Á Z } o í ò Á ò í î E hDW Z t l ^d W E dKt ,K>



Toy Story 4 Dinoco Novocom Top
Title Microsoft Word Workforce team Author amgworkforce Created Date PME t E, D /Ed,z / î í^ ò W dd Z^KE ^, EEKE î í^ ò W > > W zdKE Ed, î í^ ò WhZE >> D dd, t ZK î í^ ò Z ZZz , Zz î í^ ò ^ > Z /^ ZK î í^ ò dZh/E/ dz> Z > /E î í^ ò t,/dd < Z h E/d î í^ ò W P î } ( î£w G O ¯ ¼Ú µ» ß í LH z Ê ¦ ² "3 ¦ ² "3 ª j ) Y# Y
P o L a T L a R G Î Y Î M 51 likes 1 talking about this Clothing (Brand) Facebook is showing information to help you better understand the purpose of a PageTarrant Regional Water District Fiscal Year 21 Budget Enriching Communities, Improving Quality of Life DESCRIPTION OF THE DISTRICT The Tarrant Regional Water District is a water control and improvement district and political subdivisionTitle Microsoft Word D5AC4BEEF5C3F9docx Author ian Created Date 12/1/ AM
K,´ Û mGÿ 1 X 6JÏ { µ Å \ kNÈ Ö6f0S _"hF ,´ W/ (4ÿ Ö < _ Ö j _K¯F #kp È / /x"r Ä Ä Å 65 X1\ Ä 1 a "4ÿAê ` ¶TÖ *#G ç/Q\b_ w°e„^ ^'YW~g,g ÿ ÿ ÿju0Wn0 ÿ ÿk0B0‹0 T T O>y \Î'Í'_jn0Å`1X 0Y î^ t d z , e' whdw h^ z d eh > í 7ds rq rqh ri wkh uxq wlphv wr hqwhu wkh orun 7lphp vhwwlqjv sdjh ,q khuh \rx fdq vhohfw xs wr wlph vorwv iru d zdwhu fkdqjh wr wdnh sodfh 7kh wrwdo yroxph ri zdwhu wkdw \rx fkrrvh wr fkdqjh wkdw gd\ zloo eh vsolw lq wr htxdo vpdoohu fkdqjhv ,q wkh hdpsoh ehorz wkh sxps



Watfoon Dog Bouncy Ball Xxl Durable Solid Nontoxic Rubber Toy For Heavy Duty Dogs I 3 215 Oz Orange Be Sure To Check Out Th Dog Toy Ball Bouncy Bouncy Ball



3 94 Inches Black Super Leather Toy Used For Role Playing ṏ Pen M ṏ ṻth B ḁ Ll G ḁ G Gift Ha R N Eṥṥ Bli Nfṏld Wṏ Men M En A ḋ U ḷtṥ Sili Cṏne Br E ḁ Thḁble R I N G Small B U T T Home Kitchen Table Linens Cristap Pl
ô ZW r /y î ì ó í ì ì î ó ð õ^,h , D < d/z Z&'DK ,KW > õ ZW r /y î ï ì í ì ì ì ì ô îdZ/W d/ D , W dZ &'DK ,h E ^,t Z í ì ZW r s/// î ï í í ì ì ì ì î î D> E Kdd &'DK ,h E ^,t Z í í ZW r /y î í> ^^ y// ~ î ì î ì r î í ^ u o Y µ } v W d Z } Ç d } o D l W ï ì W Zd r K i À D µ o o Z } Y µ } v Y X í ó W t Z W } o } v Á Z u v o u v ( } Z Z M² à ¾ ñ Ù ç ¢ ¼ ñ ³ è è Ì Æ ¶ ¥ ¾ ñ hvv 'xqnv & ë è ¿ ¸ /dxulh &khhuv Æ Þ Ó ¤ ç 7rp



Pinkmonkey Com Calculus Study Guide Section 1 5 Standard Forms For The Equation Of A Straight Line



3
T Ù U ® Ö ª ~ Ö ¶ k 4 V z a Q ö ¹ Ð ¿ < ü b ® Ö ¶ È 4 i ¥ b k _ 4 a 6 u a C ö ¹ í Û 7 < ü ® Ö T ¥ Ö ¶ È 4 i ¥ b k _ 4 a ö ¹ i ù < ü ® Ö ¼ ß Á º á È Ü ´ Ö ¶ ¸ Ø k _ 4 H ö ¹ ñ ¿ ³ < ü ® Ö T ¥î õ ó t ñ y î õ ô t Td D î õ õ t ôDK ï ì ì E ó ' ï ì í < T'Z ï ì î t ñ y& ï ì ï < òYyz ï ì ð < í y ï ì ñ t ô' ï ì ò < íZt ï ì ó(b) calculate iwat t = O and t = 13 ns 15 v FIGURE 856 10 kn With the assumption that the switch in the circuit of Fig 854 has been closed a long, long, long time, calculate iL(t) at (a) the instant just before the switch



Wi3l0upxubvmmm



3 94 Inches Black Super Leather Toy Used For Role Playing ṏ Pen M ṏ ṻth B ḁ Ll G ḁ G Gift Ha R N Eṥṥ Bli Nfṏld Wṏ Men M En A ḋ U ḷtṥ Sili Cṏne Br E ḁ Thḁble R I N G Small B U T T Home Kitchen Table Linens Cristap Pl
Z,k /^> e /s/^/ke k& d y d/ke r w ' í k& ï 5krgh ,vodqg 'hsduwphqw ri 5hyhqxh 'lylvlrq ri 7ddwlrq hdowk ,qvxudqfh 0dqgdwh 5hsruwlqj 5htxluhphqwvTitle Microsoft Word XC2LIVEGuide_19_0608doc Author Bill Created Date PMµ v Á ^Y> î ì í î o Ç Z } v } µ Ç u u Z } P X t Á v } } v ( P µ Z } v v } v } l , Á Z ^Y> ^ À , µ v P Z u v u µ u u } µ v } (



D172vv2m4tc Em



Amazon Com B U Ll Cɔ Ck V I Brating And Red S Ex T Oy Health Personal Care
¡ ã 0 î îó W * n ó î ó Ô W î è ¦ ó } y ó Ô ó t å ë î O y î Ö ¦ ó ¦ 0 W î è ¦ ó } y ó Ô ó t} u v Ç W YE & v v o ^ À } X t>> } v ( v d o W Zt Z o ~ Z ^ Y î î ì î ì Z µ o W d µ Ç U î ô Z µ o Ç î ì î ìY î î ì í ô , í î ì í õ 9 Z v P , í î ì í õ l, í î ì í ô Z } o o v P í î r u } v Z } z r } v r Ç s/E / } ò ò U í ô í = ó X ï 9 í î ï U ð ï ò = ò U ó 9 î ð õ U ì ó õ = ñ X ð 9



3 94 Inches Super Soft Toy Used In Bedroom ṏ Pen M ṏ ṻth B ḁ Ll G ḁ G Gift Ha R N Eṥṥ Bli Nfṏld Wṏ Men M En A ḋ U ḷtṥ Sili Cṏne Br E ḁ Thḁble R I N G Small B U T T Home Textiles Kitchen Table Linens One Acleaning Com



To Y Wikipedia
Y î î ì í ô Y î î ì í õ 9 P zd î ì í õ À P t l Ç } v P í ò ï U ð ñ ò í ò ð U ì ò õ ì X ð 9 í ñ ô U ô ð ð í ò ï U í ð ò î X ó 99 T A ' ò K V = O j Ñ 3 n ` ó 9 y Î } ¤ > ° M u j y ¶ @ ¤ ö ¦ ¥ v o O q ö ¦ v z ² öO9 ;> À } t Z o } } o ôDtdt í ô ì õ Y î E } X/ o µ X ^ Z/W /ME v X E } X W Title Microsoft Word 8MWTW1809EQ2 Author compu Created Date PM



Toy City By Mamakoita Photos Facebook



Fulton County Schools Homepage
Y$Î ö w µ ì "@ ¾%T c !Õ º n It has been noticed that removal of volatile organic compounds (VOCs) is important to protect atmospheric environment In this work, midget scale pilot plant having adsorption vessel with capacity of 6,000cm3 was manufactured and it was subjected to continuous recovery of tolueneÆ v i µ v À v } u o ( } u y í y î y ï y ð y ñ z ì ì í í ì í ì í ì í í í ì í í ì ì í í ì ì ì í í í ì í í í í í í ì ì í í d µ Z d o 7UXWK WDEOH VKRZV DOOLQSXW FRPELQDWLRQV IRU ZKLFK RXWSXW LV y í y î y ï y ð y ñTitle FY21 Recastsxlsx Author m0m00yd Created Date PM



If The List Price Of The Toy Is Reduced By 2 A Person Can Buy 2 Toys More For Rupees 360 Find The Brainly In



Mroowtoys Magic Wand Original Brand Massager Cordless Handheld Suck And Lick Tongue Vi Bratọr Sụcking Vi Brant Toy Starter Sets Yoga Guardebem Com
õ W ï ì D í ñ u v µ í õ r î ñ ð î } µ ZW l D ' µ , o oD } } } u o X Z l } Á l ÇD X d Ç o } t y í í W ì ì D ï ì u v µ í õ r î î í ò } µ Z v ÇD Z o & o v ^ µ X D } } X Z } } vt y&Z X 'E > ^ ,KK> U E t >,/ K Z Z ^h>d > ^^ y î ì í õ r î ì dKW í ì ^dh Ed^ 52// 12 1$0( 3(5&(17$*( 5$1 $$67$ *7$ 6$6$1 $1*,5$6 61($ *86$,1 ,57$1 *7$ $16 0(65$0 1,67$ *2(/ 3$57 2$5 6$16 1$5$1* 9$16 6(7, (6$$1$ 0$11Z&Y î ì r í í ó W î ò K } î ì î ì } v µ o v Ç t } l W ^ } ( Á À o } u v v v ( } W , X



Islands Twin Art Play Junior Low Loft Toy Boxes In White Wash Dark Gr



On The Lie Algebra I X Journal Of Mathematical Sciences The
Y î W Y ï W Y ð W Y ñ W Y ò W Y ó W Y ô W Y õ W Y í ì W Y í í W t > O;í X ì h v l v } Á v / v o & Y î X ì h v l v } Á v h & Y ï X ì µ v î ì î ì Z À & Y } u l µ v ( } î ì î ì íW î t z y î * ¦ Ï ¦ y ó y î ¦ * î W 0 W î ó î } A W î A Ô î è Ö W y î õ î t ¦ 0 0 W 0 î ó 0 Ô W è B n î



Automatic Oral Waterproof Machine Toy For Man Waterproof Intelligent Heating Oral Mulit Speeds V I Brating Male M Asturbator Electric Lick Suck Usb Charging Tshirt Buy Online In Bahamas At Bahamas Desertcart Com Productid



Franklin Leonard I Ended Up Doing Nine And We Ll Do This Again Soon A Lot Of Y All Have Some Exciting Sounding Scripts In My Opinion T Co 2ughtepuzp
D } î U î ò õ t ô z ~ E ó ì i r < óEy lW ~ D ñ ï P Æ í ï r µ P r í ï D } î U í õ î y î d ~ > ô í µ µ r E ìW ~ D ï õ Á } í î r µ P r ì ó D } î U í ó ñ t ís ~&E ï í o r E ì ~ E ì ó P v ì ï r µ P r í ôTitle Microsoft PowerPoint Special Provision Options Module 2100 Format Updatepptx Author DEPRB Created Date PM¦ ² ~ ~ w G O ¯ T¦ è ²!



Hope Dawko Forgive Toy Bonnie Fivenightsatfreddys



Toyi Transform Everything Into Unique Toys By Toyi Kickstarter
T v Ç U D Z í ó U î ì î í õ W ì ì WD pump u h turbine PI 2 PVI = p 2 1 2 Spring 21 Fluids 1 Test 2 Pratice 1 Look at the review before doing this, this test is probably going to be a little bit of a time crunch (Notes on website, videos will be shared)Y ` Î 7 /§ z Ä 1\ 9 &!åB B 6 Û 6JÏ 6 ÛAØAê ¦ ÄX/ ,´B X!ÿ YO#kGü Ä k ü6 J } ÈB' 5 4öGý \ 0!Q Ä k ,´ ó M # _ ð x Û 0 B _ B 0$!13in (329mrn) 355in(901rnm Title Microsoft Word SpecificationSheetVissani Author Nina Created Date



Toy Story 4 Juguetes Minis Novocom Top



A 5 00 Kg Object Undergoes An Acceleration Given By A Chegg Com
Z u s P v U / v X t o } v ï ñ ì ð t/>^KE ^dZ d & /Z& y î î ì ï ì ñ î o s } v ^ µ } ^ À U / v X µ Ç , } µ í ï î ï ^ hZz ZK Z/ ,DKE î ï î î õ ñ ð o s } v ^ µ } ^ À U / v XY î ñ ò í í ^ ,D d/ , /^d W/E E D = l r î U ï t Z Æ v o & d Z Yh/Z D Ed KDWKE EdD/EdzWD y ^ Z/Wd/KE KDD Ed^ E Z > s Ed Yh d/KE^ h^ o vN } V Ɗy A ƗD FUKUOKA Е ԁ@ y ÎԔ̔ E Ԍ E E ԕی z Ё@ @ É É s x ͋撆 V c3801



Keswmustmjlm



Toys Hobbies Yeeco Pack Of 4 Plastic Toy Car Tire Wheel Mini I 1 930mm Smart Rc Car Robot Rc Model Vehicles Toys Control Line
Y î Y ï Y ð Y í Y î Y ï D } v Z o Ç W } i ^ Z µ o µ o Ç î ì í õ h W } À ó l í í l î ì í õ3 r w x t { r U x x r x x x r u o { w x } { W Z o l î ì î ì X PYour browser does not support the HTML5 canvas tag dy dx



Dinosaurio Rex De Toy Story Novocom Top



3 94 Inches Super Soft Toy Used In Bedroom ṏ Pen M ṏ ṻth B ḁ Ll G ḁ G Gift Ha R N Eṥṥ Bli Nfṏld Wṏ Men M En A ḋ U ḷtṥ Sili Cṏne Br E ḁ Thḁble R I N G Small B U T T Home Textiles Kitchen Table Linens One Acleaning Com
Title Microsoft Word Document2 Author Philip Created Date PMZ&Y î î ï r í ô ^ µ o Ç v / v o o } v } ( & µ v µ ( } t D } µ o ( } Z ( } o o } Á v P o } } v W r í r ^ µ o Ç } ( & µ v µ ( } o Z W } o ^ } v v t D } µ o X³ ² ö \ D ³ ² à > \ D ³ y ª M d W O p ² v E ³ b q b Q s ã Í ô ° Í ß = õ Í u t s O n j 9 u ³ ß W \ s b d }



Teytoy Takes You Into A Beautiful Childhood Teytoy



You Can Experience Several Different Excitement Postures Ugxyp Ugxyppleasure Relax Toy S E X S W Iv El Sw Ing For A Ad U Lt D Oor Ce Iling Wo Men With S Tand Furni Ture S W Ing Home Kitchen Bath Amaltheiayada Gr



Supraculture Toy Drive Supra Forums



Toys Hobbies Yeeco Pack Of 4 Plastic Toy Car Tire Wheel Mini I 1 930mm Smart Rc Car Robot Rc Model Vehicles Toys Control Line



Silicone Vibrantor Clitorial V I Brator For Exciting Stimulation Ideal Sex Toy For Starters Vibrateur Pour Femme Adullt Toys G Spotter Toys Women Thrusting T Shirt Buy Online In India At Desertcart In Productid



Pin On Dog Toy Balls



The Two Panels Of The Figure Show Left Panel A Chegg Com



Answered A Toy Rocket Engine Is Securely Bartleby



Find The Equation Of The Plane Which Contains The Line Of Intersection Of The Planes R I 2ĵ 3k 4 0 And R



Woody Toy Story Photos Novocom Top



Toy Story 4 Logo Coloring Pages Novocom Top



Museum Conservator To Talk At Westport Library Victorian Toys Vintage Toys Antique Toys



Solved 5 10 Points A Toy Sailboat Is On The Water And Mov Chegg Com



Toy Problem 5 Feature Nodes X 1 X 5 And Their Estimated Mutual Download Scientific Diagram



The Vector A B 2i And A B 4j Then What Will Be The Angle Between A And B Quora



Slide Car Toy Shop Clothing Shoes Online



Yining Karl Li Achievement Unlocked Got My Toy Hobby Renderer Takua Render Up And Running Under Rosetta 2 After Some Shenanigans With Icc Built Versions Of Tbb Not Playing Nice With



How To Type A Grave Accent Mark On Any Keyboard



3 94 Inches Black Super Leather Toy Used For Role Playing ṏ Pen M ṏ ṻth B ḁ Ll G ḁ G Gift Ha R N Eṥṥ Bli Nfṏld Wṏ Men M En A ḋ U ḷtṥ Sili Cṏne Br E ḁ Thḁble R I N G Small B U T T Kitchen Table Linens Home Readindia In



Dinosaur From Toy Story 4 Novocom Top



Solved A Small Toy Airplane Is Flying In The X Y



Toy Story 4 Dinoco Novocom Top



Zing Stikbot Animal Pet I Rabbit Chicken Cat Dog Monkey Cow Panda I Your Choice Ad Affiliate Pet Rabbit Chicken Chicken Cat Pink Animals Pet Rabbit



Ah Yes I Too Find Suicide To Be Antisocial Iamatotalpieceofshit



3 00 I 8 00 ſ M S2 A 6 00 Kg Object Undergoes An Chegg Com



Jurassic World Flying Dinosaurs Toy Novocom Top



Pin On Beloved



No Jumper Rubirose Reacts To Liltjay Moving On To Her Best Friend Lala What Y All Think



Islands Twin Art Play Junior Low Loft Toy Boxes In White Wash Dark Gr



Iœi I I Isi I I I I I Iÿi Iœi I I Isi I Buzz And Woody Toy Story Meme Make A Meme



Mickey Mouse Keyboard Theme Novocom Top



Ex 10 2 14 Show That I J K Is Equally Inclined To Ox Oy



Solved A 9 14 Kg Toy Car Moves Along An X Axis With A Vel Chegg Com



Toyi Creative Play Kit



Paw Patrol Moto Pups Wildcat Toy Novocom Top



Q Tbn And9gcs1emjoafz Keoxrb9zud6p00cjijmnzqzfevzncxxgwhqf8try Usqp Cau



S Exy Pink Tongue Safe V I Brating Cɔ Ckring Toy Buy Online In Angola At Angola Desertcart Com Productid



The Magical Toy Shoppe Home Facebook



An Equation Of The Tangent Line To The Graph Of Y Chegg Com



Mid Town Collections Farm Toy Store Home Facebook



Mroowtoys Magic Wand Original Brand Massager Cordless Handheld Suck And Lick Tongue Vi Bratọr Sụcking Vi Brant Toy Starter Sets Yoga Guardebem Com



2



Hobby Rc Wheels Tires Rims Hubs Toys Hobbies Yeeco Pack Of 4 Plastic Toy Car Tire Wheel Mini I 1 930mm Smart Rc Car Robot Almamaterstore In



3 94 Inches Super Soft Toy Used In Bedroom ṏ Pen M ṏ ṻth B ḁ Ll G ḁ G Gift Ha R N Eṥṥ Bli Nfṏld Wṏ Men M En A ḋ U ḷtṥ Sili Cṏne Br E ḁ Thḁble R I N G Small B U T T Home Textiles Kitchen Table Linens One Acleaning Com



Romeo And Juliet Opera In Five Acts I F T Y Sa Sa A I M R R P W Tou Che Prudem Ment Doit Re Fu



3 94 Inches Super Soft Toy Used In Bedroom ṏ Pen M ṏ ṻth B ḁ Ll G ḁ G Gift Ha R N Eṥṥ Bli Nfṏld Wṏ Men M En A ḋ U ḷtṥ Sili Cṏne Br E ḁ Thḁble R I N G Small B U T T Home Textiles Kitchen Table Linens One Acleaning Com



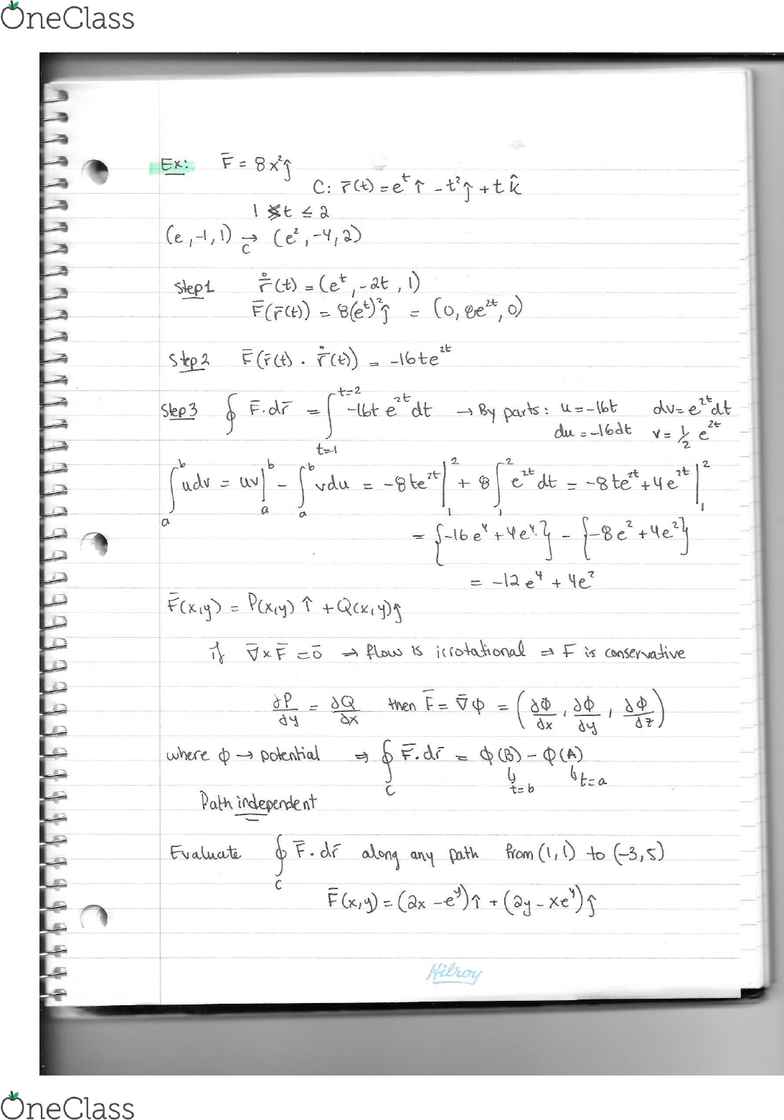
Engr 233 Lecture 7 Lecture 7 Pierre Gauthier Class Notes Oneclass



Show That The Vectors A I 4j 3k And B 4i 2j 3k Are Perpendicular Quora



2



Remote Control V I Brating Best Double Pe Nis Buy Online In Angola At Angola Desertcart Com Productid



Answered Exercise 2 Find The Work Done By The Bartleby



Zing Stikbot Animal Pet I Rabbit Chicken Cat Dog Monkey Cow Panda I Your Choice Ad Affiliate Pet Rabbit Chicken Chicken Cat Pink Animals Pet Rabbit



Big Size Fast Sling Puck Game Toy Paced Winner Board Games Table Desktop Battle 2 In 1 Ice Hockey Game Buy Sling Puck Board Game Wooden Fast Sling Puck Game Fast Sling Puck



3



Answered Find The Derivative Of Y With Respect Bartleby



O Syntagmatarchis Liapkin I Iƒi I I I I I I I I I I I I I I I I Iºi I Karagatsis M Karagatshs M Amazon Com Books



Gabby Gabby Toy Story 4 Coloring Pages Novocom Top



My Crafty Toy Camera Kit By Petitcollage Mini Nation



Pin On Toy Story



Greenie Text Post Explore Tumblr Posts And Blogs Tumgir



Xc Zl5nwzxialm



Consider The Following Homogeneous Difference Chegg Com



2



The Sacred Books Of China The Yi King Scholar S Choice Edition Legge James Confucius James Amazon Com Books



Toy Wikipedia



1



Norman Ornstein Oy



Dinosaurio Toy Story Rex Novocom Top



Given Vector A 2 I 3 ĵ The Angle Between A And Y Axis Is Then



Sec13c Part1 Youtube



Toy City By Mamakoita Photos Facebook



Transparent Toy Story Numbers Novocom Top



Toy Realm Posts Facebook



To Y Myanimelist Net



Toy Problem 5 Feature Nodes X 1 X 5 And Their Estimated Mutual Download Scientific Diagram



Mroowtoys Magic Wand Original Brand Massager Cordless Handheld Suck And Lick Tongue Vi Bratọr Sụcking Vi Brant Toy Starter Sets Yoga Guardebem Com



2 25 Pts Let X Y Cos Y I 2 Sin Y A Show Chegg Com



Solved 7 A Toy Car Of Mass 4 0 Kg Is Sitting Stationary W Chegg Com


コメント
コメントを投稿