[10000ダウンロード済み√] m3 Q[ 251709-M3 quiz
Q Acoustics M3 Review A Solid Soundbar For A Solid Price Paste
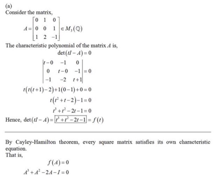
M3 quiz
M3 quiz-


Q Acoustics M3 Soundbar With Built In Subwoofer For Sale Online Ebay


Tiny Q Bmw M3 0 Watson S 6 Mobile Garage Hk


Tiny Q Pro Series Bmw M3 0 04 Dtm 5 Speed 70


M3 Q Acoustics M3 Soundbar Teardown Internal Photos Armour Home Electronics


Q Acoustics M3 Soundbar With Built In Subwoofer 2yr Warranty


Q Acoustics M3 Review Trusted Reviews


Smc Syj31 5g M3 Q Syj315gm3q Brand New Ebay


Solved Assuming That Q 0 342 M3 S And E 0 06 Mm Are Known Chegg Com


Review Q Acoustics M3 Soundbar A Lot Of Sound For Little Money


Q Acoustics M3 Review Awesome Sound Quality From A Simple Setup Proreview


Solved 2 Consider The Two Dfas M And M2 Shown Below Des Chegg Com


Smc Syj31 5m M3 Q Valve Sol 4 5 Port Solenoid Valve


Tinyq Bmw M3 0 Alpin White Choro Q Hobbysearch Toy Store


Tiny Q Pro Series 05a Bmw M3 E46 Silver


My Results Maternal Haplogroup D1f Paternal Haplogroup Q M3 Don T Know Much About My Family S History Other Than My Dad S Bio Dad Was Supposedly Native From California And Maternal Grandparents Were Mexican


1 64 Tiny Q Bmw M3 E46 White Tinyq 05c


Q Acoustics M3 Soundbar Review Home Cinema Choice


Armour Home Electronics Q Acoustics M3 Soundbar M3 Fcc Id Ygm M3


Q Acoustics M3 Soundbar Reviews Techspot


Smc Syj31 5mo M3 Q Valve Sol 4 5 Port Solenoid Valve


Tiny Q Pro Series 04 Bmw M3 0 No 6 Watson Mysite


Q Acoustics M3 Soundbar First Impressions Digital Trends


Q Acoustics M3 Soundbar Review Great Soundbar Terrible Remote The Nerdy


5 Way Electrovalvula Motherboard Mount And Individual Mounting Syj31 5gs M3 Q Smc


Q Acoustics M3 Soundbar First Impressions Digital Trends


19 Mercedes Amg C63 S Vs Audi Rs5 Sportback Vs Bmw M3 Pure Vs Alfa Romeo Giulia Q Vs Alpina S Comparison Review


Q Acoustics M3 Soundbar Perfect Gift For Xmas


Tiny Q Pro Series 04 Bmw M3 0 Red Mysite


Tiny Q Bmw M3 0 Unboxing Youtube


Q Acoustics M3 Soundbar Review Great Soundbar Terrible Remote The Nerdy


Q Acoustics M3 Soundbar With Bluetooth And Built In Subwoofer Feedback Audio


Q Acoustics Media 3 M3 Tv Soundbar Review Avforums


Q Acoustics M3 Soundbar First Impressions Digital Trends


Q Acoustics Media 3 M3 Tv Soundbar Review Avforums


Syj31 5g M3 Q Smc Smc 5 2 Pneumatic Control Valve Solenoid Metric M3 Syj3000 Series 907 6570 Rs Malta Online


Q Acoustics M3 Soundbar Review Techhive


Q Acoustics M3 Review A Solid Soundbar For A Solid Price Paste


Q Acoustics M3 Review A Solid Soundbar For A Solid Price Paste


M3 Q Acoustics M3 Soundbar User Manual Q Is R1 Armour Home Electronics


Q Acoustics M3 Review Awesome Sound Quality From A Simple Setup Expert Reviews


Tinyq Bmw M3 0 Dtm Choro Q Item Picture1


Q Acoustics M3 Review Trusted Reviews


Q Acoustics M3 Soundbar First Impressions Digital Trends


Q Acoustics M3 Review What Hi Fi


Q Acoustics M3 Soundbar Review Great Soundbar Terrible Remote The Nerdy


Q Acoustics M3 Soundbar With Built In Subwoofer For Sale Online Ebay


Mini Media M4 The New Q Acoustics Media M3 Soundbar Audio Affair Blog


Q M3 S Stream


Tiny Q Pro Series 04 S2 Bmw M3 0 White Dtm 42


Q Acoustics M3 Review Trusted Reviews


Tinyq Bmw M3 0 Dtm Choro Q Item Picture2


Q Acoustics M3 Review A Solid Soundbar For A Solid Price Paste


Q Acoustics M3 Soundbar First Impressions Digital Trends


Tiny Q Pro Series Bmw M3 E46 Phoenix Yellow Speed 70


Q M3 Soundbar Auditro Hi Fi Systems


19 Mercedes Amg C63 S Vs Audi Rs5 Sportback Vs Bmw M3 Pure Vs Alfa Romeo Giulia Q Vs Alpina S Comparison Review


Q Acoustics Media 3 M3 Tv Soundbar Review Avforums


Updating The Native American Q M3 Tree P2 Q M242 News 6 Nov 16 Haplogroup


Tiny Q Pro Series 05 Bmw M3 E46 Phoenix Yellow Mysite


Smc Syj31t 5loz M3 Q Valve Sgl Sol Body Pt Syj3000 Sol Valve 4 5 Port


Solved L Denote By M3 Q The Ring Of 3 X 3 Matrices Wit Chegg Com


Whether It S Movies Television Or Music You Want To Listen To The Q Acoustics M3 Sound Bar Will Help To Heighten The Experi Sound Bar Acoustic Rear Speakers


Q Acoustics M3 Soundbar Review Home Cinema Choice


Kyosho 1 18 Bmw E92 M3 Gts Diecast Model With Tiny Q M3 Gts Fire Orange Ebay


Tinyq Bmw M3 E46 Silver Choro Q Hobbysearch Toy Store


This Understated E46 Bmw M3 Is The Perfect Q Spec


Smc Syj31 5g M3 Q Valve Sgl Sol Body Pt Syj3000 Sol Valve 4 5 Port


Tinyq Bmw M3 0 Blue Choro Q Hobbysearch Toy Store


Tiny Q Bmw M3 E46 Alpine White In Sunset Www Tinyq Com Facebook


Q Acoustics M3 Soundbar New Q Acoustics Soundbar With Hdmi Premier Sounds Youtube


Mexican American Mestizo Born And Raised In South Texas Maternal Haplogroup C1b Paternal Haplogroup Q M3 Any More Input Welcomed 23andme


Q Acoustics M3 Soundbar First Impressions Digital Trends


Half Mexican Irish Reporting In Special Greetings To My Q M3 Paternal Haplogroup Brethren 23andme


21 Bmw M3 Vs Mercedes Amg C63 And Alfa Romeo Giulia Q Specs Compared


Q Acoustics M3 Soundbar Review An Easy And Affordable Home Theater Speaker


Gear Review Q Acoustics M3 Soundbar Hi Res Audio Central


Tiny Q Pro Series 14 Bmw M3 E92 Gts Mysite


Solved Q 10 Kpa Ysat Kn M3 2 M Figure I 2 For The P Chegg Com


Smc Syj32 6mn M3 Q Valve Dbl Sol Body Pt Syj3000 Sol Valve 4 5 Port


Tiny Q Pro Series 14 Bmw M3 E92 Alpine White Mysite


Q Acoustics M3 Soundbar Review An Easy And Affordable Home Theater Speaker


Alfa Romeo Giulia Q Vs Bmw M3 Competition Vs Cadillac Ats V Drag Race Is Brutal Autoevolution


Q Acoustics Media 3 M3 Tv Soundbar Review Avforums


This Understated E46 Bmw M3 Is The Perfect Q Spec


Tiny Q Pro Series 05 Bmw M3 E46 Alpine White Mysite


Tiny Q Bmw M3 0 Marlboro Dekra 42 Mobile Garage Hk


Acoustics M3 Soundbar Brand Q Black Ebay


Q Acoustics M3 Soundbar Review Great Soundbar Terrible Remote The Nerdy


Bmw M3 0 Choro Q Wiki Fandom


Q Acoustics M3 Soundbar Review Techradar


12 Used Bmw M3 Base Trim At Quality Auto Center Serving Seattle Lynnwood And Everett Wa Iid


Smc Syj31 5g M3 Q 4 5 Port Solenoid Valve Valve Sol


Solved Denote By M3 Q The Ring Of 3 X 3 Matrices With R Chegg Com


Q Acoustics M3 Soundbar Unboxing Hands On The Listening Post Tlpchc Tlpwlg Youtube


The M3 Soundbar By Q Acoustics A Quality Sound With A Modest Price Geardiary


Solved Denote By M3 Q The Ring Of 3 X 3 Matrices With R Chegg Com


Q Acoustics M3 Soundbar Reviews Techspot


Q Acoustics M3 Soundbar Review An Easy And Affordable Home Theater Speaker


Tiny Q The Legend The Bmw M3 0 Has Finally Facebook


Electrovalvula De 5 Vias Montaje En Placa Base Y Montaje Individual Syj31 5gs M3 Q Smc


Mini Media M4 The New Q Acoustics Media M3 Soundbar Audio Affair Blog


コメント
コメントを投稿